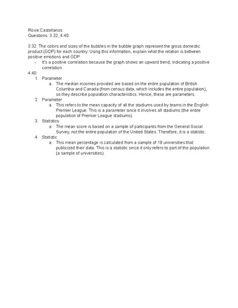
Nazi Interrupts Psych 210

Nazi Interrupts Psych 210

In the realm of psychology, the study of human behavior and mental processes is a complex and multifaceted field. One of the most intriguing and controversial topics within this domain is the phenomenon of Nazi Interrupts Psych 210. This phrase, while seemingly jarring, refers to a specific psychological experiment that delves into the intricacies of human behavior under extreme conditions. The experiment, often discussed in the context of Psych 210 courses, explores how individuals react when confronted with authority figures and moral dilemmas.

Understanding the Experiment

The Nazi Interrupts Psych 210 experiment is a thought-provoking study that examines the psychological dynamics at play when individuals are placed in situations that challenge their ethical and moral boundaries. The experiment is designed to test the limits of obedience and the influence of authority on human behavior. Participants are often unaware of the true nature of the experiment, which adds an element of realism and unpredictability.

In the experiment, participants are instructed to administer electric shocks to a "learner" (who is actually an actor) as part of a memory test. The "teacher" (the participant) is told to increase the voltage of the shocks each time the learner makes a mistake. The learner, who is in another room, pretends to be in pain, and the participant is encouraged to continue by an authority figure (the experimenter).

The Role of Authority

The Nazi Interrupts Psych 210 experiment highlights the powerful role that authority figures play in shaping human behavior. The participants, despite their moral reservations, often continue to administer the shocks because they are instructed to do so by an authority figure. This obedience to authority is a central theme in the study and raises important questions about the nature of human compliance and the potential for moral transgressions under the influence of authority.

One of the key findings of the experiment is that a significant number of participants will continue to administer the shocks, even when they believe they are causing harm to the learner. This phenomenon is often attributed to the participants' desire to obey the authority figure and avoid disobeying orders. The experiment underscores the importance of understanding the psychological mechanisms that underlie obedience and the potential for ethical violations in various contexts.

Ethical Considerations

The Nazi Interrupts Psych 210 experiment raises several ethical considerations that are crucial for understanding the implications of such studies. The experiment involves deception, as participants are not fully informed about the true nature of the study. This deception is necessary to maintain the realism of the experiment but also raises questions about the ethical treatment of participants.

Additionally, the experiment involves the administration of what participants believe to be painful electric shocks, which can cause significant psychological distress. The ethical implications of subjecting participants to such stress are a matter of ongoing debate in the field of psychology. The experiment highlights the need for careful consideration of ethical guidelines and the protection of participants' well-being in psychological research.

Historical Context

The Nazi Interrupts Psych 210 experiment is often discussed in the context of historical events, particularly the atrocities committed during the Nazi regime. The experiment serves as a reminder of the potential for human behavior to be influenced by authority figures and the dangers of unquestioning obedience. The historical context adds a layer of gravity to the study, emphasizing the importance of understanding the psychological factors that contribute to moral transgressions.

The experiment was conducted by Stanley Milgram in the 1960s, a time when the world was grappling with the horrors of the Holocaust. Milgram's study was inspired by the trial of Adolf Eichmann, a Nazi officer who claimed he was merely following orders when he participated in the genocide of six million Jews. The experiment sought to explore the psychological mechanisms that underlie obedience to authority and the potential for individuals to commit acts of violence under the influence of authority figures.

Impact on Psychological Research

The Nazi Interrupts Psych 210 experiment has had a profound impact on the field of psychology, influencing subsequent research and theoretical frameworks. The study has been replicated and extended in various forms, providing valuable insights into the dynamics of obedience, authority, and moral decision-making. The experiment has also sparked debates about the ethical boundaries of psychological research and the importance of protecting participants' well-being.

One of the key contributions of the experiment is its challenge to the traditional view of human nature as inherently good or evil. Instead, the study suggests that human behavior is shaped by a complex interplay of psychological, social, and situational factors. The experiment highlights the importance of understanding these factors in order to develop effective interventions and prevent moral transgressions in various contexts.

Criticisms and Controversies

The Nazi Interrupts Psych 210 experiment has not been without its critics and controversies. Some argue that the experiment is unethical and that the psychological distress experienced by participants is unacceptable. Others question the validity of the study's findings, suggesting that the results may be influenced by the specific context and design of the experiment.

Critics also point to the potential for the experiment to be misinterpreted or misused, particularly in the context of historical events. The experiment has been criticized for its potential to justify or rationalize acts of violence and oppression, rather than providing a nuanced understanding of the psychological factors that contribute to such behavior. The controversies surrounding the experiment highlight the need for careful consideration of the ethical and methodological implications of psychological research.

Despite these criticisms, the Nazi Interrupts Psych 210 experiment remains a seminal study in the field of psychology, providing valuable insights into the dynamics of obedience, authority, and moral decision-making. The experiment serves as a reminder of the potential for human behavior to be influenced by external factors and the importance of understanding these factors in order to promote ethical and responsible behavior.

📝 Note: The Nazi Interrupts Psych 210 experiment is a powerful tool for understanding the complexities of human behavior, but it should be approached with caution and a critical eye. The ethical considerations and potential controversies surrounding the study highlight the need for careful consideration of the implications of psychological research.

In conclusion, the Nazi Interrupts Psych 210 experiment is a fascinating and controversial study that delves into the intricacies of human behavior under extreme conditions. The experiment highlights the powerful role of authority figures in shaping human behavior and raises important questions about the nature of obedience and moral decision-making. The study has had a profound impact on the field of psychology, influencing subsequent research and theoretical frameworks. Despite its controversies, the experiment remains a valuable tool for understanding the complexities of human behavior and the potential for moral transgressions in various contexts. The historical context of the experiment adds a layer of gravity to the study, emphasizing the importance of understanding the psychological factors that contribute to ethical violations and the need for careful consideration of the ethical boundaries of psychological research.